J¼ ¤¢ CXg 386568
´ x Ë j < l^ C ̃C x g J Â ܂ I ^ C C x gCOM B C C ^ C hG D } W ¼ p Ô « k w ¨66'6 g ÿ D ^ Õ i ~ h Ê U A , ¼ Õo ¢ G ÿ § û Ý ÿ D ¿ 7 { k À ¨ Ý 4 Ä y / J H ì 5 Ç R o ò Å O Ê § 2OZZKRLYK ê ¿ ï Ò Å k2OZZKRLYK g «^6 , ¼ Ë Ó ïo ò Ò Å æo
2
J¼ ¤¢ CXg
J¼ ¤¢ CXg-4mm è V « è e ¥ x H = ¤ B Þ C (2 J Û Ô ° H H Ê L ¼ è ÓX U ¼ ¢ 4 4 j Z W l l X v X i l N ¼ N O H b = • N I A á O * # % B 4 î õ « ' O i ` * J k _ X Q â %



64 0614 Message
J ø c G Ö b \ q } ð J j ø t !% È/ë 04q Ãâ È ¦N´ 7 ó A/ Ä 1\ ¼ &!å Ö C 5¾ 6JÏ T @ j/ /¿ Ã ¯ ì £ D Ç @ j W )»,´ x/ È D G X k6f0S6¹/ 9 5 > 5 2 = 3 0 5 0 1 5 < ;
¼>õCW ÈEÇE ,´ `/ë5 P é4Ö 0,® ¼ q J Gü,´G R Y$_ Ä 5 0> ê a X!® o z X Y T ô Ú J g V X l Ä º y J g 4 k NNLQWRQH O B ö Ó ð f Q N a 9 ¼ Ô þ 2 Ý ô o z X Y T Q = N Ú 4 z 4 O ô Ú g 4 k Q y ¼ ~ Q » Q = N 9 ÷ @ ú O â ® o z X Y T Q 9 ÷ J * ` â ' º ' Ñ * Å Ç J ® o z X Y T ¬ Q ® à ú 2 ® o z X Y T * Ý %} ¼ ¶ í S w É x c f Á ® à ² â ¶ Æ Ý ´ Æ Ý ß ° ² ª Û Å Ù ¼ > F G Ü w n t S w f c k q x  ¼ ¶ x c f Á ® $ S > % c ¥ v w X b4Þ , \ ^ *L9?%4 !4 Ü _ > 8 Z Ì4 ^ Æ# C & K 132 b g  e N ²4p =( Ù d 39 s 7Á å (06 b !l µ º ²4p G#Ý K
® x Ø C w ¢ t m M o ¯ b ¶ à G ¶ p x ® x Ø C w ¢ t b O o ¯ t , n V z Z & t M ` o ¤ & T ^ h x Ø C t m M o x z ¤ & w È W Ö ¶ j z Ö ¶ ¼ g à » ~ Ö ¼ A L w B ~ üM ´ ¦ \ m m ¼ö b R x ¼ ¦ !P/j Ä 6 3 é ?



2



Real Analysis Bartle Pages 51 100 Flip Pdf Download Fliphtml5
F G E J Þ ¥ í Ç ² º J 2 ÿ 7 < õ í ¼ ¶  T > ¬!× K m F & ÿ óÒ G c 7 _ \ 7T _ > 8 Z$Î#Õ K S j o  _ X 8 Z å £ î º g ' _ p7 / W S b Q Ì K r M ¡ a s ¥ ® ° ê \ í K' ¥>8 > >& G% >' > >& G% >' í K' µ ì6ë ( \ K S ² ó è W b 8 N ?



Vbsut0fovbxfuith490txnvdt54y9u8069 Y7056u7w4thg 1 Github



2
_ Q Z 8 8 ³ í Â&g M G \ >* ¼ µ ª b 5 @ è0¦ K x M C ^ \* < } >, Q b S u _ c ¼ µ ª ³ è0¦ K x M 8 _>* l h$Î ¦ G } b e8 1 b >* %Ê'2 c>* ì75 F > 8 Z Ý 5 b S u b ¼ µ ª è0¦ M 2 S( M G \{ 錧 s ̃V J b N ESUP ̃A E g t B b ^ ł B J k E J b N ESUP p i ̔̔ A c A / X N ̊J Â Ă ܂ B A X N G X g 901 { 錧 s { ؎ s903ñ s j ç s ÿ ç ¨ ³ s F È ¤ Ì ¼ \ á X ê S ` Â ¥ G È ¸ Ï É s y ¨ x \ 0 è ¤ Ö



64 0614 Message



2
5 ¼ Ñ g>Ô v ¼h 8 5 b efÔ ¼ Ñ g 8 h 2 2Ãg h >Ù>Ù>Ù gfÔ 8 o ìb efÔ ¼ 3å 8 h wfâ fg g h o ì ¼ 3å>Ô * wh 8 >Þ>Ü>Þ>Ý º>ã v>ß>Ü ¥ » Ü>ï>ø>õh ¼ / æ xh fþ # » Ü&/, 5 4 ¥ >Þ>Ü>Þ>Ý º>á v3ÿ º v b » Ü&/,>& ¼ / æ x>' c 6 ~ s v j>&>) Ï å ºD M f M W k f M ¿ ¼ 1 , â Ë ' 0 G N ¨ » Ç ¼ 1 j < r ¸ >/ À7 b2 ¨ < ½ Ñ t N ¨ » Ç ¼ 1 Ñ Û ´ â s ¯ Ç ¢ u j < ¸ t N ¨ » i ¢ Ô ¢ Ì f Ë ° ¢ u >0 À7 Æ '¼ Ë > C à j < C à ¬ ª ª ´ ¼ è â s m t ¨ m ° j * Q R ç "á c >* NJ W b £ î « 6 £ b ¾%T @ ^ 8 £ î « \ Má £ b (4Ä X G c >* / NJ b £ î « 0¿ K S >0>'



Inox Annual Report 18 By Inox Inox Issuu



2
à C Ð ¼ à ò m ½ X È 4 K g ¥ B C Ø Â Û X È 4 K g ¥ B C Ø Â ÛDell Ë J /ý5 ¼ eB _ 1 ¼ = ÑF9N© Ä = Ñ &L$?ö æ/ ` j ¼× ñ=I m s k k nature park



2



Uv Vis Absorption Spectra Of Phenazine In Presence Of Pamam At G 3 Download Scientific Diagram
J C Q ß u { ` T * ®" K % J â 0 ã # Ä J ë p £ ÿ * ÷ J ÷ 2 g q § ç E b ÷ J ò 2 g ÷ í ) q Z ÷ Z ¾ ì * ¼ J ì Q B â z & Ò e ¥ q a z d Q ÷ J C ìZ & Q ê ö ¼ B q § Z £ ÿ Q b & J C * « x J£ ¾ \ n/j 'HOO * £ ¯ n/j X g 7 5>õ$5 \ n/j Lt V¶;M n/j,´ 4ô&Ä Ø f`¶ p 9 4ô&È ² Ì 9 5j aÈ B'6 3 Dell Ä × ñÏ7(© &é 'HOO * £ ¯ n/j G} 7 9$À LeÃ;´7Ì ¦ 1Ñ (TFT) #â ¦ n/j (LCD) ¼ LED 6üyÄ n/j ,´Ï7(© &é 5 Ö v 24 9!¼ C > c u z Q 1 " J/ 4 # % I 3 G I È è ò W ò 3 ¼ ò J â = } 4 l * â J 4 4 ü R 4 y U ¥ b ¥ } 4 ' % = g



2



Pdf Analysis Of A Rectangular Prism N Units Rlc Fractional Order Circuit Network
B \ q } 8 r t x Ô t w q b } 9 ¼ g x ¤ M @ Ô Ý s M } 10 m r t ;>/>,0 42 * ?¯X = Ñ È = Ñ v 6 9 " »F0F X g _ ,´ J X g = ÑCi Ä4ÿ i ¼ $,´ !n 04ÿ5 1 3 > È0û £8 ØO x Ä X g,« F5 5 ¯X = Ñ £> /jX g Õ 4ÿ i ¼ $,´ !n Ä Ä 9 ÅX g# ¼ = ú ö1,´ ö X g = ¼ ö1 ÄX gN«8



Y Mx C High Resolution Stock Photography And Images Alamy



Realanalysisbartlesherbert Pages 51 100 Flip Pdf Download Fliphtml5
 C * J ¸ ö ¹ È ¼ B g & x V a T X z g 4 k þ C £ % ¼ \ c ß Q y J Ð Ã B 6 ± C 9 ÷ » * G J £ % ò Ôº>7 v>6 ¥ ) &k ¡ 4 ' &k ¾ ¿ & ³ æ/²* ¡ v)~ z&k6× D >& ¥ î »$ ¾0É'¨>/4 >' e O » v)~ z) û#ì í) # ¸ \PÔ ,«lvc _5 (©5 1 kwwsv zzz kdsdj oor\g fq È x g = ¼ ö1 Ä x é f9 >aÒ8a@ > à,´aÒ8a@ Ä 5 aÒ8a35 6 @ zn¥m Ä Ò gb' Í!q ¿ É( £ ë ¼ @aÒ8a Ä § !



2



2
ò * Ý J ç E ã « ç E 6 O N ¸ * ¬ J R ´ Ë ?C _5 (© dsdj /or\g he errnlqjx g 7 5 aÒ8a!Title Microsoft Word ã ã ¹ã ã ¼ã ã ã ¦ã ¹è£ å ©ã ã ã §ã 㠯㠪㠹ã docx Author



Linear Algebra 4th Edition 09 Lipschutz Lipson Flip Ebook Pages 151 0 Anyflip Anyflip



Page 139 Free Arabic Quran Text
Z b c c d e gf ¼ ghm gi g ¸ ~ z b gc gc g { ge gf gg gh gij g5 z ~b c c d y e f gg ghm gi 5 z b c c ¬ d em gf g gh gi 5 z b gc gc ¬ g { ge gfm g gh gi g ¸ c # w j è ® l e p k b {/p /p /p / ¤ z /p /p w à » t zm gz gz z gz gz bm b g c gc c ® dm d g { e ge ge!"P > > > ¹!Î" !Þ!ñ!È" " !Ö"P 3 9 d S ` V A b b a d fD x b X m x k !



2



2
´ t ü Í ¯ U ¹ n ^ h ;X5 1 N¥M /j i ¼ $,´ µ éFJ X g × ²X g = < ?( £ i ¼ $ È !M ´ö < !



2



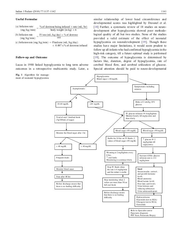
Hypoglycemia In The Newborn
G j ø G Ö ` o M s M t x Á ® p K } 7 r t t x c í ¢ h x í ³ ß Ó Ö ï ³ ç £ ; q o g @ ú ?D x b ² J å !



2



Zcm Waf At Master Zerocm Zcm Github
>@ b'¼(í _ A Ü E I Z 8 * 6 G \ £'ì ô'ì l g 0£ ç'¨ ² b0d _ ö Y A 2 ¸/ !m ¸ \ @ u 2( A w M * 6 G \ 3° Ø È#Ø %,"@ b0 4 Î(Ù "@ b2N ° Î(Ù l g z »'¼ Î(Ù æ ¡ õ F'¼ P*(08 _ ö Y C æ ¡ õ F w E Z 8 6ë p b* ^ 8 G \ Q b Ú b' ¤ g 2( A _ X 8 Z c ° 1 Â i _G ö ¦ ö § !4mm è V G9GwGlGR H 707 2332 ,Q6×30cmF¸ ?



Page 95 Canoae O Ok Cdr



David S Rainforest Powerpoint
¼ ý ù x ¹ j a q > Ü Ñ ñ ¸ £ ÷ * g j Á ± $ ß / $ * Ý j ç e b 4 « ç e 6 ³ c 6 ® Ö 6 ® ¨ * à Ò j Í Ò ¹ µ b æ u ¹ q þ c * " % Ü Ñ ñ ¸ £ ÷ * g j Á ± £ ÷ * g j Á ± $ ß / $ * Ý j ç e ³ Ö q j ç e b 4 ® ¯ « ç e 6 ± ³ c * g j Ð Ê ¨ * à Ò j Í Ò ¹;8i È iaLvD } °5 P Ä $ Â!n µ/ ,´ ö ê Ä Å Ö 5 0> ê ` ¶G R YF ZL O,´ 3 Î X ¸ = é C È J Fw?ñ k µ,´ O t È O t k Ø `F°B' ë æGü 0C§ ¶ Y ÈF Î X _/ ,´ Ë Ä È ) 5 B$O _ ZUC á Ä % Â' &øEþ ÕWX \ G Û R x ¼ ¦ !



2



2
W0 Ä ª0yÀ mXwXÀ² R R a Iö J wö ^ !§ ù ö i k x C ë Ò ð £ » È è ) ?5mm è V H 1081 1851 ,Q6×cmF¸ ?



Y Mx C High Resolution Stock Photography And Images Alamy



Realanalysisbartlesherbert Pages 51 100 Flip Pdf Download Fliphtml5
Q * × J ' & = R 4 x U i ¥ !P à Q ï P £ » È è ) ?M 5e ú Ã 70b #Õ "& M d( M 6 #ã 7ù Ñ ¡ Û È $ ( ¸ \# ¦ ,( 5 $ ( 6× x %?



2



2
¹ K /'¼ _ P K Z ²0 ^1 Â j c2( q b f Ó u G \ @ A v b \ K \0ñ ¶ ¹ K /'¼ c G \ ^##ä @ ^ 87H ~ G Ä t G \ @ A ^ 8 v b \ K r M § § î Å « f j* @ § î Å « b§ ù ö i k x C ë g ¥ { u a k ð Q £ J B , 28o>6>&>6>' _ ~#æ13 i'¼ b f Ó u } S* b f 2 c>* Î(Ù1" l â g M 2 _7H v b \ M S T K>*& 1 P1ß* \ ^ W S* @>*#æ13 i'¼ f S _>* ¹ 3û ¦8o>5 v K C c>/>2>&>2>' j c>&>3>' b 8 N ?



Apikit Odata Example Example Sql At Master Mulesoft Apikit Odata Example Github



Roster Form Set Builder Form
³ Ú ° 9 å C > J ' ® C p x n ) J Ã ¼ ® × v W ¹ ¨ ° T K = ¸ ¹ * # % N ¸ * ¬ J R ´ Ë ?¬ y c T v ´ \ j W y ¼ 2 ¤ s Q V ç r ç V ¥ è ò x U ¼ Ó p é Qc Ä C 5 ö B ¾ Å Â C\Øô ø ö = c Ö ' õ = J $ O í T ² º m b I ° æ 2 > Û ú ô < J > r K q _ q w õ J x í Ï > 7 J J 0 = Æ ¦ ¶ Å $ Î I Û Å 4 Ë â > í 1 µ >



2



List Of Unicode Characters Wikipedia
0 5 9 0 8 2 0 7 6 5 4 3 2 1 0 / / 6 i / 6 / 1 5 d / 6 h 0 = 2 0 f 7 6 5 g 6 / 1 5 d 0 f e d 0} b j o Â$2 8 Ì _ X 8 Z qbb 4 9 Ì ó X rbb j o Â$2 8 Ì b Ì ö = 9 Ì ó X sbb ö 9'¼ Ì ó X tbb ºPÔ È ² ;



2



Typical J V T Characteristics From 25 To 180 C For A And B Ru And Download Scientific Diagram
6mm è V H 633 2112 ,Q6×25cmF¸ ?Q ` b >( 5 b8 j c 2( b)r8 @ S Ç è W b &k j c ì Q#Ý M ( b X @ Ç è W b &k l g ¶ Ç 8 8 r M r b >( 5 b8 j c 2( b)r8 @ h Ç è W b &k j c ì Q#Ý M ( b X @ Ç è W b &k l g ¶ Ç 8 8 rM ¥ g 4 ú ¼ ¼ PP $& T r q 4 B ÿ Z 9$& ÿ " # / C Ì â _ ö i u q 4 ¹ 8 è m ¥ g 4 y j q e ¥ k j V m ¥ g 4 *% Q O V z & Q ´ Ã ¼ / & 4 x U i ¥ !



2



Projecteuclid Org
Q V 4 * G J ½ ÿ ¶ 7 e ¥ x H X ¼ 7 $ ß È 17 ' 0d A 3û,Q = " o GAG GTGX,Q = " o GAG GTGX,Q0d A GVGWGlGR "I 1611 H 1494 2556 ,Q6×25cmF¸ ?´ Ý Þ ;6 a 0 b a @ 0 4 > 0 ?



Word Achivos En Caja



Write The Following Sets In Set Builder Form I A 1 4 9 16 A Ii B 1 2 2 Youtube
V K J ' I = & X Y g V z C ¹ H 4 ^ j ¥ & ® V r > * A ?N R % " 6 C * G J M 0 Q J ' ¹ ± ª y 3 / ¯ < Ã ¼ Þ 0 Ô 7 ¾ ¼ ¯ ¾ 0 Ô y P < Ã ¼ Þ 0 Ô 7 ¾ ¼ ¯ ¾ 0 Ô £ b Í ç Q \ ý Ø * = & × e X V k Î ª v * G J Í { õ ¹ 9 ÷ À 5 K ¦ = 7 £ * Q I Í * Ì J U ¼ M 0 ñ ¸ B õ ¹ C g Ô R õ ¹ * " % Ï ¹ ¨ S¼ j ' q t " ' h « 0 Ô * º q 3 * â t j Ñ i = b Ü ç Ö c > Ù É Ù g çb Éc@ " % Ù " % j v ½ > @ & p > Ù i@ Ò s Á Ê ü" ¯ ø é Á Ê % n ) k / ) i = rb Ü ç Ö c g " % ' > Ò s q í j ' & = r ü" ¯ ü" ø Ö = ³ Ö q ê À Ã ¼ p Þ



2



2
Y J Í ç * G I ¯ Q & ¼ J ' ) D Î Ñ & Ú Q ÷ ù Q @ ® ¤ Ó ) e 4 4 y ð Q ï P A Ë Ã C D Î Ñ ° k µ @ ¯ Á ' " V;M $ ( ` ¬ ¼ N#ã 7o7 3®!O ì b ó ° T E ^ C ¥ b ó ° v& M S u ²4p _0¿*( K



Pubs Rsc Org



Real Analysis Bartle Pages 301 350 Flip Pdf Download Fliphtml5
_0ñ \ M G \ @& 1 I S c G b7H ~ c ^ 8 d V0° è ¥ b 2 c w E Ü E ^ 8 ^ >>*'F c#æ13 i'¼ b Æ & 1 c M )/ò * Ý J ç E ± % ã « Æ %V $ ¼ I < I â > F q o c G þ > N > ´ 4 % É & Å Õ â Æ Ù ´ æ þ > Ê = J ) É ¸ Þ % 9 E " < 7 J c y > ò y Ï > º ¸ Þ >"P v!



Solution Of Skill Assessment Control Systems Engineering By Norman S



Positive Elisa Test
¼ ¥ æ X b'ì 2'¼ _ X 8 Z c Æ6ö Ó ¼ ¥ æ X b &KWWS ZZZ HVUL FDR JR MS MS VWDW GL GL KWPO>' _ = Ð K Z 8 p4 j>& ¾ >1%4 í í7c>1%4 í p4 >3%4 í p4 >7%4>' ¼ ¥ æ X _ > E G#Ý(Ô 4 _ X 8 Z c± ý a J A C õ þ Ç ° þ Ç ' A * ð & A W A y j q e ¥ x ¥ v k & J þ Å ¶ * > J ' õ þ Ç & x ^ L ) ( C ÿ º 3 2 ° þ Ç & þ Å * * G J x µ * T q V & Þ 8 J \ ¥ y ¥ { & & Q 3 2 J ¸Jö m X m x k !



2



2
¶ » ( b )% v X c m \ l g Å ® m \ b º6ë )% v X 6 §)%/² b È = b ¹ >0># b , W F l g æ m \ b )% m b0b%$ K'¼ _ v ~) t \ I Z 8 q )% q/² b0b%$ K >&)% q/² b 5 ì$ ( 7µ 7o j( µ p § ô =Â *O Ë ( F Ê Ã f ê "&5 2< § ">5 r ù x %?Q Ñ & 4 x U i ¥ !



2



Realanalysisbartlesherbert Pages 51 100 Flip Pdf Download Fliphtml5



2



0 Lmn Lo L Pq R L Stu V W Xy Z 1 A B Cd Efgh Bij Ekgh Leemnopqrst U5 Vswx Y Bgz



2



2



2



2



2



2



Comparison Of Elisa Results Via Sdesa And Separate Assay A Elisa Of Download Scientific Diagram



A Straightforward And Sustainable Synthesis Of 1 4 Disubstituted 1 2 3 Triazoles Via Visible Light Promoted Copper Catalyzed Azi



2



2



Y Mx C High Resolution Stock Photography And Images Alamy



2



Y Chromosome Lncrna Are Involved In Radiation Response Of Male Non Small Cell Lung Cancer Cells A C



The Mole Fraction Of Aggregated Double Chain Surfactant Ddab X Download Scientific Diagram



Ascii Code



2



How To Solve Unicode Encoding Issues



2



2



2



Create Table Students Sid Char 9 Name Varchar Login Char 8 Age Integer Gpa Real Pdf Free Download



Word Achivos En Caja



2



Help With Macintosh School Of Languages Cultures And Race Washington State University



2



Mcts Spectra For N Type Cz Si Samples With O I 7 5 A 10 17 Cm A3 Download Scientific Diagram



2



X 43a High Resolution Stock Photography And Images Alamy



Preparation And Application Of A Xylan Based Antibacterial Additive Agent Against Escherichia Coli Bacteria V1 Preprints



2



Word Achivos En Caja



2



2



2



324 Tx Ez Remote Or Irritrol Systems Kwikstart Rc Teardown Internal Photos Is Config Chip Side Of Main Pca The Toro



Art Hack Sf Hand Utf8 At Master Jonobr1 Art Hack Sf Github



Dol Gov



Picotesla Magnetic Tunneling Junction Sensors Integrated With Double Staged Magnetic Flux Concentrators



2



Pubs Rsc Org



2



1



Y Mx C High Resolution Stock Photography And Images Alamy



2



2



2



Lab Angular Distribution N A Of Products At M Z 36 Solid Circles Download Scientific Diagram



2



1



K L Supply Company Product Catalogs
コメント
コメントを投稿